Kategorie: Pusher

enthält alle Aktienbewertungen der Klasse „Pusheraktien“

Cameo Resources Inc, MEO.CN

zuletzt geändert am 21.12.2025

93%
2
0%
24%

Kursänderung seit 08.05.2024
Mio. CAD verbrannt
starkes Medienpushing
häufiges Kurspushing


Push
stärke

Die Pushstärke ist ein Maß, wie stark der Handelskurs der jüngsten Zeit vom Durchschnitt der Vergangenheit abweicht, und belegt somit Pushaktivitäten

Push
Score

Der PushScore ist ein Maß der Aktienqualität, der aus Daten des Aktienhandels, des Akteursnetzwerks und der Werbung durch Medien und Analysten gebildet wird.

Finance
Score

Der FinanzScore ist ein Maß der Wirtschaftsstärke und zeigt, ob ein Unternehmen etwas auf den Rippen hat oder eher eine Luftnummer ist.

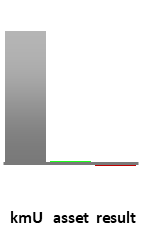
Asset
Ranking

Das AssetRanking ist ein Vermögensvergleich mit einem durchschnittlichen KMU. Links der Assetvergleich, rechts das operative Ergebnis

Cameo Resources ist ein Winzling mit einer Pusher-Aktie der Klasse III.

Langzeitchart
PushChart

Anmerkungen zur Aktie: Cameo besitzt nichts, außer reichlich Akteure, der Aktienkurs taugt nichts, das Scoring ist schlecht – und damit geht man ins Zweitlisting an der FWB, um … ?

837 Akteure in 2236 Firmen
in Firma: Souhail Abi-Farrage, Vanni Barbon, Abbey Abdiye, Casey Lewis, Leonard Senft, Paul Smith
im 1. Kreis (Top30): Geoffrey Balderson, Kelly Pladson, Bryson Goodwin, Dusan Berka, Zahara Kanji-Aquino, Brian Gusko, George Cavey, George Gorzynski, Michael Kinley, David Jones, Peter Hawley, Robert Horsley, David Scammell, James Bergin, Peter MacLean, Amrit Gill, Nigel Horsley, Robert Marvin, Bharat Parashar, Christine Mah, Dunham Craig, Edward Baker, Gregory Jensen, Brett James, Chris Wright, Douglas Cavey, George Bonnell, James Graham, Alejandro Ochoa, Armando Vazquez, uva.